1139 Cursos Gratis
|
Comunidad
|
Chat
|
Cómo cursar
|
Certificados Gratis
|
Profesores
|
Crear Curso
Buscar
Mi Aula Facil
Mi Aula Facil
Inicio
Cursos Gratis
Todos los cursos
Idiomas
Inglés
Francés
Alemán
Italiano
Portugués
Informática
Crear Páginas Web
Excel, Word, Powerpoint, Access
Internet
Manualidades
Autoayuda
Empresa
Emprender
Contabilidad
Marketing
Cocina
Ciencia
Matemáticas
Arte / Humanidades
Aficiones
Salud
Deporte
Dibujo / Pintura
Docencia
Decoración
Belleza
Bricolaje
Bebé
Psicología
Psicología
Primaria
Secundaria ESO
Matemáticas Secundaria ESO
Lenguaje Secundaria ESO
Bachillerato
Matemáticas
Seguridad y Prevención
Otros Cursos
Arquitectura
Inicio
Cursos Gratis
Todos los cursos
Idiomas
Inglés
Francés
Alemán
Italiano
Portugués
Informática
Crear Páginas Web
Excel, Word, Powerpoint, Access
Internet
Manualidades
Autoayuda
Empresa
Emprender
Contabilidad
Marketing
Cocina
Ciencia
Matemáticas
Arte / Humanidades
Aficiones
Salud
Deporte
Dibujo / Pintura
Docencia
Decoración
Belleza
Bricolaje
Bebé
Psicología
Psicología
Primaria
Secundaria ESO
Matemáticas Secundaria ESO
Lenguaje Secundaria ESO
Bachillerato
Matemáticas
Seguridad y Prevención
Otros Cursos
Arquitectura
Inicio
💼 Cursos
Ciencia
Matemáticas
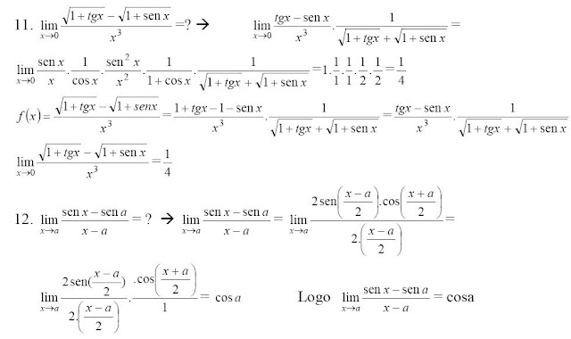
Matemáticas Avanzadas. Limites de Funciones
Cálculo de Límites de Funciones Trigonométricas y Mixtas II
Buscar
Cálculo de Límites de Funciones Trigonométricas y Mixtas II
Temario
«
27: Límites de Funciones Trigonométricas y Mixtas I
Anterior
28
»
29: Cálculo de Límites de Funciones Trigonométricas y Mixtas III
Siguiente
El autor
Levis Wilson Estevez
Licenciado en Fisica Nuclear.
Contenidos que te pueden interesar
Los cursos más populares de Matemáticas:
-
Trabajando con Fracciones
-
Álgebra
-
Geometría
Te interesa
Este sitio usa cookies para personalizar el contenido y los anuncios, ofrecer funciones de redes sociales y analizar el tráfico. Ninguna cookie será instalada a menos que se desplace exprésamente
más de
400
px
. Leer nuestra
Política de Privacidad
y
Política de Cookies
.
Las acepto
|
No quiero aprender cursos gratis. Sácame